光儲逆變電源(光伏逆變器)是一種由半導體器件組成的電力調整裝置,主要用于把直流電力轉換成交流電力。由逆變器使用環境和失效機理分析,僅僅采用單一溫度、濕度和電應力的單應力加速模型不能適用于該型產品。
為了驗證逆變器較高的可靠性指標,綜合考慮樣品成本、數量和試驗周期等經濟、時效和可行性因素,選用溫度-濕度(Peck)模型雙應力壽命加速模型,并基于此加速模型進行可靠性鑒定試驗,逆變器試驗樣本量選為10臺。以下是逆變器的可靠性驗證內容。
試驗設備:環儀儀器 光儲逆變電源高溫老化室
試驗樣品:10臺逆變器
試驗模型:溫度-濕度(Peck)
可靠性驗證過程:
加速試驗剖面的確定:
結合逆變器在使用的溫度、濕度環境,基于加速損傷理論選定的逆變器加速壽命模型符合Peck溫-濕應力模型,該壽命-應力模型是由溫度模型和濕度模型相乘耦合的雙應力綜合模型,即:
式中:
t-失效前時間;
A-常數;
RH-相對濕度,單位為%;
n-常數;
Ea-激活能,單位為eV;
k-波爾茨曼常數,取值為8.617×10^-5eV/K;
T-絕對溫度,單位為K。
加速因子的確定:
針對逆變器的硬件組成以半導體和IC器件為主,IC器件常見故障的激活能一般在0.8~1.0 eV之間。結合類似電力電子產品研發的工程經驗及標準推薦,本次產品激活能取Ea=0.9 eV。
n的范圍在1~12之間,取典型值n=3。則加速因子為:
式(2)中:
RHu—常規運行下的百分比相對濕度,RHu=85%;
RHs—加速應力下的百分比相對濕度,RHs=95%;
Tu—常規運行下以K表示的溫度,Tu=308.15;
Ts—加速應力下以K表示的溫度,Ts=338.15;
K—波爾茨曼常數,取值為8.617×10^-5eV/K。
統計方案:
為了快速地驗證該型逆變器可靠性指標是否達到分配指標,綜合考慮確定使用方風險β為30%,選擇試驗統計方案號為GJB899A—2009標準附錄A中圖A.24方案號30-1,拒收故障數為1。
如下表計算所示,當10臺逆變器試驗樣品按照上述試驗應力剖面進行加速試驗時,出現1次責任故障或時間累計達到2 124.739 h時(兩者優先滿足其一即可),即判決該逆變器通過可靠性鑒定。
可靠性試驗結果:
加速試驗后,根據逆變器試驗記錄統計,經過篩選后的10臺逆變器同時開始試驗,在設定的加速試驗剖面下加速運行至261.5h,責任故障數r=0結束試驗,則10臺逆變器累計試驗時間2 615 h,0失效,判為接收,通過試驗。
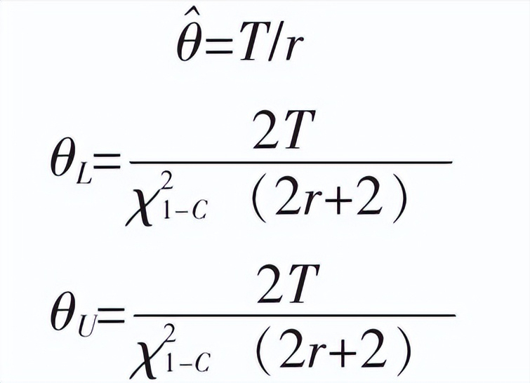
對本次試驗全過程進行統計,總的試驗時間為T,責任故障數為r,根據GJB 899A-2009“A.5.4.4”可知,定時試驗的驗證區間,估計值和區間估計值的計算公式為:
由于r=0,無法得到點估計值和置信上限,僅能進行置信下限的估計。此處采用一種簡便的MTBF置信下限的估算方法:
使用方風險β=30%時,總試驗時間為T=2 615 h,本次試驗逆變器計算出的MTBF置信下限:
又結合加速因子,推導出常規運行環境下該型逆變器的MTBF置信下限:
由此可知,在等效2 615 h可靠性試驗結束時,在70%置信度下逆變器MTBF的置信下限值為61 328 h,符合逆變器分配的可靠性指標MTBF≮50 000 h的要求。
以上就是光儲逆變器Peck模型下的可靠性驗證過程,如有試驗疑問,可以咨詢環儀儀器相關技術人員。
















